Toggle navigation
登录 | 注册
联系我们
网站首页
招生院校
专业目录
政策资讯
专业指南
考生须知
热门问答
复习资料
考前辅导
×
请选择您的考试类型
依学考
3+证书
搜索
智能填报
首页
复习资料
数学
备考经验
3+证书指数函数与对数函数知识点
收藏
515 阅读
0 评论
0 点赞
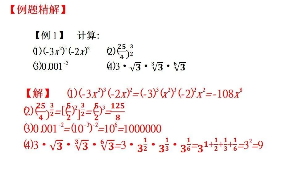
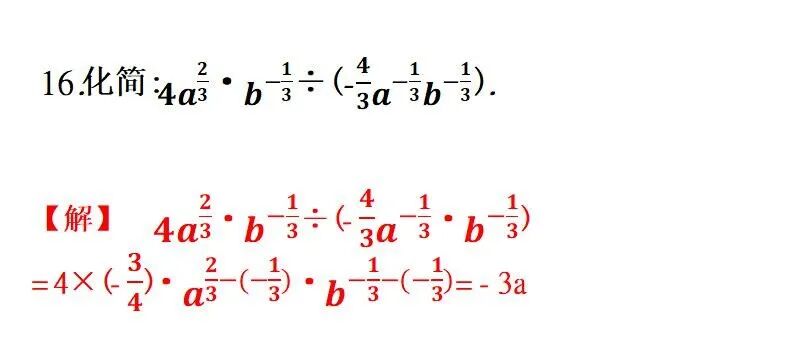
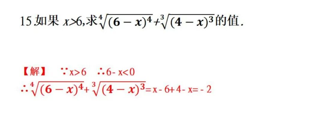
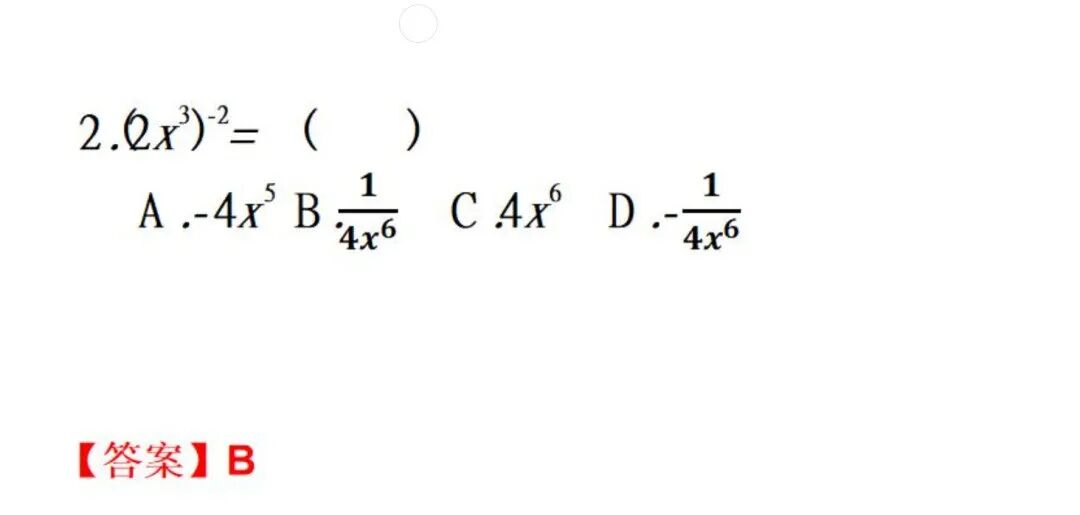
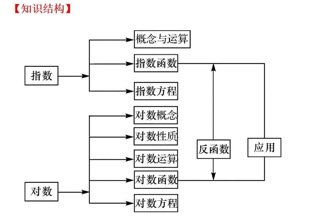
指数函数与对数函数
是3+证书数学中的重要部分
今天就来
梳理一下核心知识点,
结合典型例题解析进行练习
👇🏻👇🏻👇🏻
3+证书备考刷题必备教辅
例题+真题+解析结合,帮你攻克各个知识考点↓
成功没有捷径,
唯有脚踏实地,
希望大家要稳扎稳打,
高效备考,顺利上岸!
本文分类:
备考经验
本文标签:
text1
text2
text3
浏览次数:
515
次浏览
发布日期:2025-04-28 17:37:36
本文链接:
https://www.gaozhigaokao.net/shuxuebeikaojingyan/2360.html
上一篇 >
3+证书数学 最基础三角函数公式汇总!
下一篇 >
3+证书10条数学常考知识点公式!
中职语文 | 语文病句快速辨析的22个切入点(三)
中职语文 | 15个语文病句快速辨析切入点(二)
广东高职高考数学5大核心考点解析
3+证书数学和角与倍角公式!
公众号
微信扫一扫加关注
小程序
微信扫一扫体验
小助手
分享