3+证书10条数学常考知识点公式!


数学公式+练习
轻松获取上岸小技巧!

1、绝对值计算


2、幂的运算性质


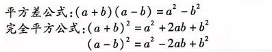
3、整式乘法公式


4、一元二次方程


5、不等式的性质

中职菌为你整理好了26年3+证书备考资料
添加【中职菌】老师微信
以下资料即可免费获取↓↓

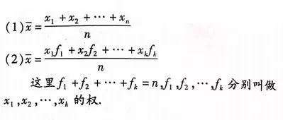
6、平均数


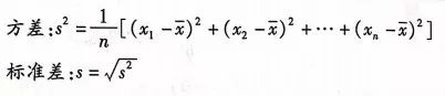
7、方差与标准差


8、三角形


9、比例的性质


10、三角函数


11、与圆有关公式


公众号

微信扫一扫加关注

小程序

微信扫一扫体验

小助手

微信扫一扫联系

分享