中职数学 等比数列
一、笔记精华:
1.定义:
如果一个数列从第2项开始,每一项与它前一项的比都等于同一个常数,那么这个数列叫做等比数列.这个常数叫做这个等比数列的公比,一般用字母q来表示.
例1:(1)5,25,125,625… q=25/5=125/25=5
(2)1,1/3,1/9,1/27…., q=1/3/1=1/9/1/3=1/3
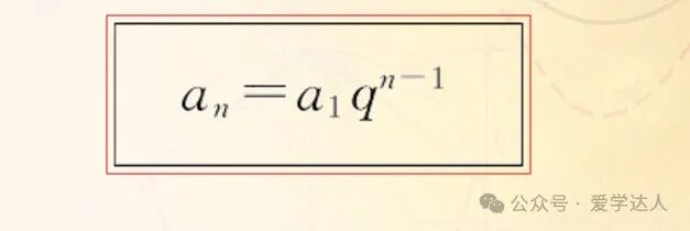
2.通项公式:
知道了等比数列
3.等比中项
例3:求1和16的等比中项。
解:设等比中项为G,则G²=1X16=16,
则G=4或-4
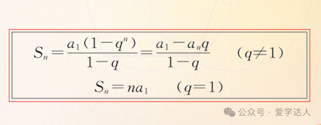
4.前n项和:
