Toggle navigation
登录 | 注册
联系我们
网站首页
招生院校
招生专业
政策资讯
志愿填报
考生须知
热门问答
复习资料
考前辅导
×
请选择您的考试类型
依学考
3+证书
搜索
智能填报
首页
复习资料
数学
资料分享
中职数学 幂函数(笔记)
收藏
网络
394 阅读
0 评论
0 点赞
一、幂运算:
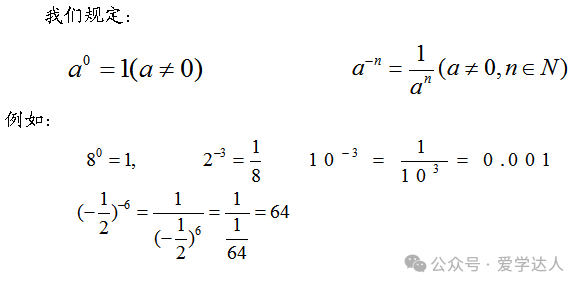
零和负指数幂:
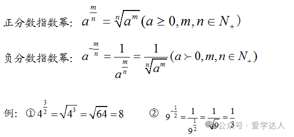
分数指数幂:
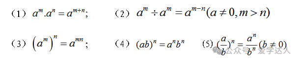
有理数指数幂运算法则:
典型例题:
二、幂函数:
幂函数的定义:
幂函数的性质:
三、典型例题:比较大小
本文分类:
资料分享
本文标签:无
浏览次数:
394
次浏览
发布日期:2025-06-29 11:00:09
本文链接:
https://www.gaozhigaokao.net/shuxueziliaofenxiang/2363.html
上一篇 >
中职数学 实数和绝对值
2026年春季高考志愿填报全攻略:时间、流程、技巧一次讲清!
超详细!广东省普通高考报名系统志愿填报操作步骤
广东省2026年春季高考"3+证书"志愿填报的完整流程参考
2026年广东3+证书志愿填报数据分析:96所院校录取分数、热门专业与填报策略详解
公众号
微信扫一扫加关注
小程序
微信扫一扫体验
小助手
分享